![]() |
RS-Abschluss | Pflichtteil A1 nach Prüfungsjahr Mustersatz 6
|
Aufgabe A2/M6
| Lisa will mit Streichhölzern eine möglichst lange Reihe an Quadraten legen, wobei die Quadrate jeweils eine Seite gemeinsam haben: | |
![]() |
|
| • | Wie viele Streichhölzer benötigt sie für 5 Quadrate? |
| • | Mit welchem Term kann man die Anzahl der Streichhölzer berechnen, die man für n Quadrate benötigt? |
| Lösung: Für 5 Quadrate benötigt man 16 Streichhölzer. Term: ![]() |
|
| |
Lösung A2/M6
Aufgabe A3/M6
In der abgebildeten quadratischen Pyramide ist die Strecke parallel zur Grundkante a. |
![]() |
| Außerdem gilt: | |
![]() |
|
![]() |
|
Berechne die Länge von a, die Länge der Strecke und die Pyramidenhöhe h. |
|
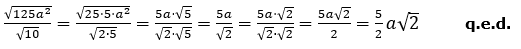
Lösung: a=6 cm; ![]() |
| |
Lösung A3/M6
Aufgabe A4/M6
| Lässt man einen Reißnagel auf den Boden fallen, gibt es zwei Möglichkeiten, wie der Reißnagel landen kann. A: seitlich oder B: auf der runden Fläche. Für die Wahrscheinlichkeiten beider Positionen gilt näherungsweise: |
und ![]() |
| Berechne die Wahrscheinlichkeit dafür, dass beim zweimaligen Werfen des Reißnagels jede Position einmal vorkommt. |
Lösung: mit E: jede Position einmal. |
| |
Lösung A4/M6
Aufgabe A5/M6
Das Schaubild zeigt die Geraden und . |
![]() |
| Weise mit dem Satz des Pythagoras nach, dass das Dreieck OPQ rechtwinklig ist mit α=90 °. |
| |
Lösung A5/M6
Aufgabe A6/M6
| • | Bestimme mit dem abgebildeten Einheitskreis den Wert von sin(53 °) auf eine Nachkommastelle genau. | ![]() |
| • | Gib einen weiteren Winkel an, für den gilt: sin(α)=sin(53 °) |
|
| Lösung: sin(53 °)=0,8 sin(127 °)=sin(53 °) |
||
| |
Lösung A6/M6
Aufgabe A7/M6
| Berechne den Flächeninhalt des gleichschenkligen Trapezes. |
![]() |
| Lösung: ATrapez=60,0 cm2 |
| |
Lösung A7/M6
| Du befindest dich hier: |
| RS-Abschluss | Pflichtteil A1 nach Prüfungsjahr Mustersatz 6 |



.



parallel zur Grundkante a.


und die Pyramidenhöhe h.

und 
mit E: jede Position einmal.
und
.






