![]() |
RS-Abschluss | Pflichtteil A1 des Prüfungsjahres 2022
|
Aufgabe A1
| a) | Vervollständige die Gleichung![]() |
|
![]() |
||
| b) | Vervollständige die Gleichung | |
![]() |
||
| c) | Vervollständige die Gleichung![]() |
|
Lösungen: a) b) c) |
||
| |
Lösung A1
Aufgabe A2
| Eine quadratische Pyramide mit der Grundkante a=6 cm und der Körperhöhe h=4 cm wird vollständig mit Wasser gefüllt. | |
| a) | Berechne das Volumen der Wassermenge. |
| b) | Die Wassermenge wird in ein quadratisches Prisma umgefüllt. Die Grundkante des quadratischen Prismas beträgt a=4 cm. Wie hoch steht das Wasser im Prisma? |
| Lösungen: a) 48 cm3 b) 3 cm | |
| |
Lösung A2
Aufgabe A3
| Ein Glücksrad mit vier gleich großen Feldern ist weiß, schwarz und grau gefärbt. Es wird zweimal gedreht. | ![]() |
|
| a) | Berechne die Wahrscheinlichkeit des Ereignisses P(zweimal weiß). | |
| b) | Berechnen Sie die Wahrscheinlichkeit des Ereignisses P(grau schwarz). | |
Lösungen: a) ![]() b) |
||
| |
Lösung A3
Aufgabe A4
| Welcher der drei Boxplots gehört zur abgebildeten Rangliste? Begründe mithilfe der Kennwerte. |
![]() |
![]() |
![]() |
![]() |
| Lösung: Boxplot (B) |
| |
Lösung A4
Aufgabe A5
| Berechne den Term 58⋅104+42⋅104 Kreuze das zum Ergebnis zugehörige Zahlwort an: |
![]() |
| |
Lösung A5
Aufgabe A6
| a) | Emma legt Muster aus Kärtchen. Die ersten drei Muster hat sie bereits gelegt. |
![]() |
|
| Gib die Anzahl der Kärtchen für das 7. Muster an (n=7). | |
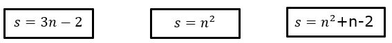
| b) | Eine der folgenden Formeln kann zur Berechnung der Anzahl der Kärtchen bei allen Mustern verwendet werden. Welche Formel sollte Emma auswählen? |
![]() |
|
| n gibt die Stelle des jeweiligen Musters an, s ist die Anzahl der jeweiligen Kärtchen. | |
| Lösungen: a) Das siebte Muster besitzt 49 Kärtchen. b) Emma sollte die Formel s=n2 wählen. |
| |
Lösung A6
Aufgabe A7
| Ein Paar Sportschuhe kostet 120 €. Im Rahmen einer Rabattaktion wird der Preis um 30 % reduziert. Anschließend wird der reduzierte Preis nochmals um 20 % gesenkt. Liam behautet: „Die Sportschuhe kosten somit nur noch die Hälfte des ursprünglichen Preises.“ |
| Hat Liam Recht? Begründe deine Entscheidung durch Rechnung oder durch eine Argumentation. |
| Lösung: 67,20 €. |
| |
Lösung A7
| Du befindest dich hier: |
| RS-Abschluss | Pflichtteil A1 des Prüfungsjahres 2022 |







b)
c)


















